English
近期活动
    近期活动
    当前位置: 首页 - 近期活动 - 正文
    局部与非局部混合型拉普拉斯算子的雷泽-麦肯纳型问题

    作者: 时间:2025-11-25 浏览次数:

    讲座题目:局部与非局部混合型拉普拉斯算子的雷泽-麦肯纳型问题Lazer-McKenna type problem involving mixed local and nonlocal elliptic operators

    主办单位:理学院/三峡数学研究中心

    报告专家:黄水波西北民族大学)

    报告时间:2025年124日(周四)下午(15:00-18:00)

    报告地点:腾讯会议:731-894-570

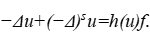
    报告摘要:In this talk, we investigate the existence,uniqueness and regularity of weak solutions to the following semilinear mixed local and nonlocal elliptic problem

    The feature here is that the nonlocal and local Laplacian operator will compete with each other and influence the regularity property of solutions.

    专家简介:黄水波,西北民族大学数学与计算机科学学院教授,博士生导师,甘肃省领军人才,国家民委中青年英才美国Mathematical Reviews》评论员、教育部学位中心评审专家。主要研究领域为偏微分方程理论及其应用获批3项国家自然科学基金和多项省部级基金以第一完成人获批甘肃省自然科学奖三等奖。


    地址:中国湖北宜昌市大学路8号    邮编:443002    电话:0717-6392691
    网址:http://mathcenter.ctgu.edu.cn/    邮箱:llm@ctgu.edu.cn
    Copyright © 2007 - 2016 三峡数学研究中心 All Rights Reserved