English
近期活动
    近期活动
    当前位置: 首页 - 近期活动 - 正文
    “知名学者论坛”系列学术报告——张建军教授 (重庆交通大学)

    作者: 时间:2024-01-03 浏览次数:

    讲座题目:Normalized ground states of a coupled Schrodinger system

    主办单位:三峡数学研究中心/理学院

    报告专家:张建军教授 (重庆交通大学)

    报告时间:2024年1月5(周五)上午9:00

    报告地点:腾讯会议(ID:847-405-728)

    专家简介:张建军,重庆交通大学数学与统计学院教授,重庆市数学会副理事长,贵州大学博士生导师。2001年本科毕业于中国矿业大学数学系,2012年于清华大学数学科学系获博士学位,2018年获得意大利副教授国家资格认证,2020年入选重庆市高校中青年骨干教师,主持国家自然科学基金3项和意大利伦巴第研究员基金(Global ERC)各1项。在非线性薛定谔方程的半经典状态和规范化解的研究等方面取得了一些结果,在JMPA,CPDE,CVPDE,JDE,Nonlinearity等刊物上发表多篇论文。

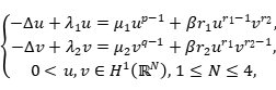
    报告摘要:In this talk, we are concerned with the existence of normalized solutions to systems of coupled Schrodinger equations

    satisfying the normalization

    Here and the prescribed masses We focus on the coupled purely mass super-critical case, i.e.,

    with being the Sobolev critical exponent. We optimize the range of for the existence. In particular, for with our result indicates the existence for all and This is based on the joint work with Louis Jeanjean and Xuexiu Zhong.

     

     

     

    地址:中国湖北宜昌市大学路8号    邮编:443002    电话:0717-6392691
    网址:http://mathcenter.ctgu.edu.cn/    邮箱:llm@ctgu.edu.cn
    Copyright © 2007 - 2016 三峡数学研究中心 All Rights Reserved